产品列表
联系我们
销售热线:0632-5113088
外贸电话:0632-5113066
公司传真:0632-5113155
地址:山东省枣庄市市中区水处理剂产业园(十里泉东路1号)
E-mail:th@thwater.com
外贸电话:0632-5113066
公司传真:0632-5113155
地址:山东省枣庄市市中区水处理剂产业园(十里泉东路1号)
E-mail:th@thwater.com
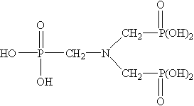
氨基三甲叉膦酸 ATMPAmino Trimethylene Phosphonic Acid (ATMP)
别名:氨基三亚甲基膦酸、ATMPA、次氮基三亚甲基三膦酸、次氮基三亚甲基膦酸 CAS No. 6419-19-8 分子式 N(CH2PO3H2)3C 相对分子质量:299.05 结构式
一、性能与用途:ATMP具有良好的螯合、低限抑制及晶格畸变作用。可阻止水中成垢盐类形成水垢,特别是碳酸钙垢的形成。ATMP在水中化学性质稳定,不易水解。在水中浓度较高时,有良好的缓蚀效果。 ATMP用于火力发电厂、炼油厂的循环冷却水、油田回注水系统。可以起到减少金属设备或管路腐蚀和结垢的作用。ATMP在纺织印染等行业用作金属离子螯合剂,也可用于金属表面处理剂等。 ATMP固体为结晶性粉末,易溶于水,易吸潮,易于运输和使用,尤其适用于冬季严寒地区。 二、技术指标
三、使用方法ATMP常与其它有机膦酸、聚羧酸或盐等复配成有机水处理剂,用于各种不同水质条件下的循环冷却水系统。用量以1~20mg/L为佳;作缓蚀剂使用时,用量为20~60mg/L。 四、包装与贮存ATMP液体用塑料桶包装,每桶30kg或250kg;ATMP固体用内衬聚乙烯袋的塑料编织袋包装,每袋净重25kg,也可根据用户需要确定。贮于室内阴凉通风处,防潮、严防曝晒,贮存期十二个月。 五、安全防护ATMP为酸性,操作时注意劳动保护,应避免与皮肤、眼睛等接触,接触后应立即用大量清水冲洗。 |
|||||||||||||||||||||||||||||||||||
|
|||||||||||||||||||||||||||||||||||
| 关键字: 氨基三甲叉膦酸ATMP,氨基三亚甲基膦酸ATMP,阻垢缓蚀剂 | |||||||||||||||||||||||||||||||||||


